美股盘前,金银跳水,布油升至114美元!比特币重挫5%,美元重返100大关
尽管现在越来越多的工具和方法帮助人们去投资,ETF也能帮大家实现各种投资类型和策略,但是在亲自实战的时候,你心里总是免不了会经历这样一些时刻:
“这支股票怎么跌了这么多呀,早知道买另一支”、
“早知道xx块的时候我就该买了,现在都翻了好几倍了”、
“哎呀卖早了,不然现在我就财务自由了”
有这些想法的朋友通常对风险与回报的认识和理解还不够透彻,这个时候你首先要做的事情就是管理你投资组合的风险。要想透彻的理解“风险”,你首先要清楚你投资组合的优势和劣势。更关键的是你投资组合的风险矩阵,这个风险矩阵包括了:频率、深度、持久度以及复原时长。这种矩阵比你之前单纯考虑收益的矩阵要靠谱的多。你总要做好最坏的打算,才能准备接受所有的结果。
1. 夏普比率是有局限性的
大家都应该知道,看一个基金的好坏除了看收益以外还得看它的夏普比率(Sharpe Ratio),通常来说,比率越高越好,代表了承担的每一个单位风险所能带来的收益越高。但这里有个问题就是,波动率并不是等于风险,夏普比率有个很大的问题就是它更多的是看回本的时间,并不能很好的考虑到股票跌的频率和跌的深度,并且也没有将流动性考虑进去。
2. 建立好投资组合的评估矩阵
建立投资组合的评估矩阵必须要把收益和风险都考虑进去,首先要有一个预期的收益范围,然后还要有一个潜在损失表,对投资者,对投资顾问来说这些都是需要他们掌握的。
3. 建立你的风险矩阵
风险矩阵有两个要素:最高点到最低点的跌幅以及每个历史最高点之间的周期。
普通投资者一般会用自己投资经验中的实际损失和回本所需时长来评估风险,这样是不够准确的,可以试着用“痛苦指数(Pain Index)”、“卡马尔比率(Calmar Ratio)”、“欧米加比率(Omega Ratio)”和CVaR方法来更准确的评估自己投资组合的风险。
相关小知识:
痛苦指数(Pain Index)
从三个维度评价一个投资组合的风险:平均损失的深度(平均回撤——depth),平均下跌持久的时间(duration)和下跌频率(frequency)。一般来说,波动率较大的市场,痛苦指数也比较高。这是一些市场的痛苦指数:

卡马尔比率(Calmar Ratio)
Calmar ratio是用于评估商品交易顾问和对冲基金的业绩衡量指标。这个比率一般都使用过去三年的数据,比率越高,代表该投资组合风险管理更好。
我们看看下面两个基金,虽然Fund Two的年回报率更高,但是他的CalmarRatio低,回撤风险(潜在的最大损失)是大于第一个基金的,相比之下第一个基金的风险管理更好。
这个比率和夏普比率最大的区别在于,夏普比率是基于波动率去衡量每单位收益,而Calmar Ratio则是将分母换成最大回撤,基于最大回撤去衡量每单位收益。

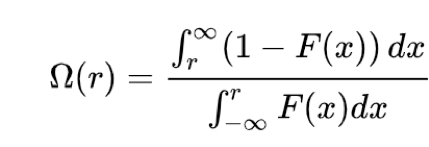
欧米加比率(Omega Ratio)
作为夏普比率的替代风险评估方法,和夏普比率有一个比较明显的区别就是,欧米加比率适用范围更广,因为夏普比率是假设了市场股价都是正态分布(均值偏多,极端较少),但欧米加比率是也同样适用于非正态分布的曲线。

CVaR(也叫Expected shortfall)
CVaR算是VaR的一个补充,是指投资组合的损失大于某个给定的VaR值的条件下,该投资组合损失的平均值。通常来说,VaR只能监测置信区间内的风险(或损失)
CVaR更能体现潜在风险和尾部风险,在计算上比VaR的计算更简便,因此其作为补充应用的前途与空间应该比VaR更大、更广阔。同时CVaR在理论与实证研究方面都取得较大的成功。

结语:你如果不能透彻投资的风险,你对你的投资组合就没法有一个准确的回报率和潜在损失的评价。
“这支股票怎么跌了这么多呀,早知道买另一支”、
“早知道xx块的时候我就该买了,现在都翻了好几倍了”、
“哎呀卖早了,不然现在我就财务自由了”
有这些想法的朋友通常对风险与回报的认识和理解还不够透彻,这个时候你首先要做的事情就是管理你投资组合的风险。要想透彻的理解“风险”,你首先要清楚你投资组合的优势和劣势。更关键的是你投资组合的风险矩阵,这个风险矩阵包括了:频率、深度、持久度以及复原时长。这种矩阵比你之前单纯考虑收益的矩阵要靠谱的多。你总要做好最坏的打算,才能准备接受所有的结果。
1. 夏普比率是有局限性的
大家都应该知道,看一个基金的好坏除了看收益以外还得看它的夏普比率(Sharpe Ratio),通常来说,比率越高越好,代表了承担的每一个单位风险所能带来的收益越高。但这里有个问题就是,波动率并不是等于风险,夏普比率有个很大的问题就是它更多的是看回本的时间,并不能很好的考虑到股票跌的频率和跌的深度,并且也没有将流动性考虑进去。
2. 建立好投资组合的评估矩阵
建立投资组合的评估矩阵必须要把收益和风险都考虑进去,首先要有一个预期的收益范围,然后还要有一个潜在损失表,对投资者,对投资顾问来说这些都是需要他们掌握的。
3. 建立你的风险矩阵
风险矩阵有两个要素:最高点到最低点的跌幅以及每个历史最高点之间的周期。

普通投资者一般会用自己投资经验中的实际损失和回本所需时长来评估风险,这样是不够准确的,可以试着用“痛苦指数(Pain Index)”、“卡马尔比率(Calmar Ratio)”、“欧米加比率(Omega Ratio)”和CVaR方法来更准确的评估自己投资组合的风险。
相关小知识:
痛苦指数(Pain Index)
从三个维度评价一个投资组合的风险:平均损失的深度(平均回撤——depth),平均下跌持久的时间(duration)和下跌频率(frequency)。一般来说,波动率较大的市场,痛苦指数也比较高。这是一些市场的痛苦指数:

卡马尔比率(Calmar Ratio)
Calmar ratio是用于评估商品交易顾问和对冲基金的业绩衡量指标。这个比率一般都使用过去三年的数据,比率越高,代表该投资组合风险管理更好。
我们看看下面两个基金,虽然Fund Two的年回报率更高,但是他的CalmarRatio低,回撤风险(潜在的最大损失)是大于第一个基金的,相比之下第一个基金的风险管理更好。
这个比率和夏普比率最大的区别在于,夏普比率是基于波动率去衡量每单位收益,而Calmar Ratio则是将分母换成最大回撤,基于最大回撤去衡量每单位收益。

欧米加比率(Omega Ratio)
作为夏普比率的替代风险评估方法,和夏普比率有一个比较明显的区别就是,欧米加比率适用范围更广,因为夏普比率是假设了市场股价都是正态分布(均值偏多,极端较少),但欧米加比率是也同样适用于非正态分布的曲线。

CVaR(也叫Expected shortfall)
CVaR算是VaR的一个补充,是指投资组合的损失大于某个给定的VaR值的条件下,该投资组合损失的平均值。通常来说,VaR只能监测置信区间内的风险(或损失)
CVaR更能体现潜在风险和尾部风险,在计算上比VaR的计算更简便,因此其作为补充应用的前途与空间应该比VaR更大、更广阔。同时CVaR在理论与实证研究方面都取得较大的成功。

结语:你如果不能透彻投资的风险,你对你的投资组合就没法有一个准确的回报率和潜在损失的评价。
